Видео решение к номеру 29 по алгебре за 8 класс, авторов А.Г. Мерзляк, В.Б. Полонский, М.С. Якир Более подробное гдз к этому заданию можно найти здесь https://gdz.ru/gdz/class-8/algebra/me...
How Metaphor ReFantazio Completely Took Over My Free Time!
The funkiest of towns [SFM]
POSTMODERN ARCHITECTURE | What Is That Unforgettable Line?
Beating Lichdragon Fortissax Hitless (Completed Within 10 runs)
Istri selingkuh dengan teman suami
Menu Theme Far Cry 3: Blood Dragon HD OST
[AMV] Todoroki - Lose Myself
МУЖ АМЕРИКАНЕЦ ДОЛЖЕН РАБОТАТЬ ЗА ДВОИХ | ВСЁ ПОВТОРЯЕТСЯ | ЗАМУЖ ЗА АМЕРИКАНЦА
КР Вариант 2, № 9 - Алгебра 8 класс Мордкович
КР Вариант 2, № 10 - Алгебра 8 класс Мордкович
КР Вариант 1, № 5 - Алгебра 8 класс Мордкович
Что узнали, чему научились, стр. 100 № 17 - Математика 3 класс 2 часть Моро
Что узнали, чему научились, стр. 58 № 6 - Математика 3 класс 2 часть Моро
Итоговое повторение всего изученного, стр. 94 № 3 - Математика 4 класс 2 часть Моро
Алгебра 7 класс. Видеоурок по теме "Формулы сокращенного умножения. Квадраты" от GDZ.ru
Алгебра 7 класс. Видеоурок по теме "Разложение многочлена на множители.Метод группировки" от GDZ.ru
Проверь себя, глава 2 - Алгебра 8 класс Мерзляк
Проверь себя, глава 6 - Алгебра 8 класс Мерзляк
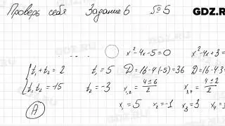
Проверь себя, глава 5 - Алгебра 8 класс Мерзляк
Стр. 89 № 3 - Математика 3 класс 2 часть Моро
Стр. 88 № 3 - Математика 3 класс 2 часть Моро
Алгебра 7 класс. Видеоурок по теме "Умножение многочлена на многочлен" от GDZ.ru
Алгебра 7 класс. Видеоурок по теме "Умножение одночлена на многочлен" от GDZ.ru
Стр. 69 № 6 - Математика 3 класс 2 часть Моро
Стр. 47 № 6 - Математика 3 класс 2 часть Моро
Стр. 42 № 6 - Математика 3 класс 2 часть Моро
Алгебра 7 класс. Видеоурок по теме "Одночлены" от GDZ.ru
Вы этого ждали! Он точно знает, как вам помочь!
№ 84 - Геометрия 9 класс Атанасян Рабочая тетрадь
№ 93 - Геометрия 8 класс Атанасян Рабочая тетрадь
№ 13.15 - Геометрия 10 класс Мерзляк
№ 1.13 - Геометрия 10 класс Мерзляк